Background
Cryoballoon ablation (CB) is a well-established thermal technique for pulmonary vein isolation (PVI), while balloon-in-basket pulsed field ablation (BiB-PFA) represents a novel non-thermal alternative. Both single-shot systems may trigger systemic inflammation and myocardial injury, yet direct comparisons are lacking. This study aimed to compare inflammatory and myocardial biomarker responses following first-time PVI using CB or BiB-PFA.
Methods
In this prospective, single-center study, 100 patients undergoing PVI for symptomatic paroxysmal or persistent atrial fibrillation (AF) were enrolled (CB: n = 50; BiB-PFA: n = 50). Venous blood samples were collected before and on the morning after ablation to assess leukocytes, C-reactive protein (CRP), platelets, troponin T, creatine kinase (CK), myoglobin, creatinine, and estimated glomerular filtration rate. Baseline characteristics, procedural data, and acute success were analyzed.
Results
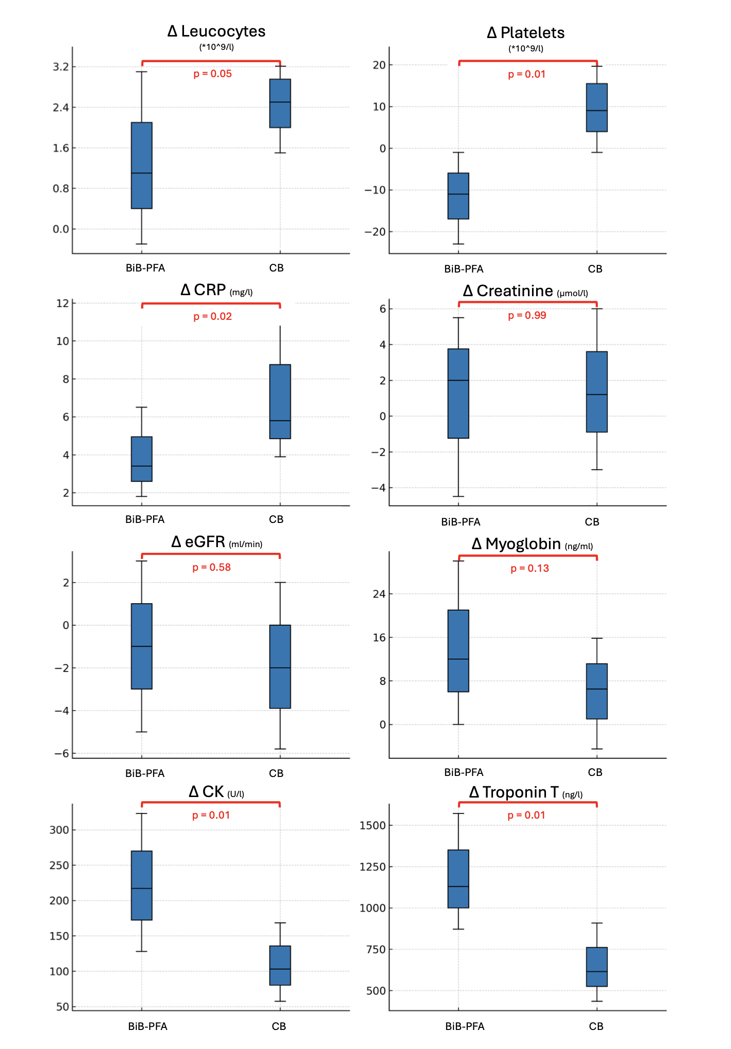
Patients in the CB group were older (74 vs. 65 years; p = 0.01) and had higher CHA₂DS₂-VA score (3.0 vs. 2.0; p = 0.009). Acute PVI was achieved in all cases CB was associated with greater increases in leukocytes (Δ2.5 vs. 1.1 × 10⁹/L; p = 0.05) and CRP (Δ5.8 vs. 3.4 mg/L; p = 0.02), whereas BiB-PFA showed higher rises in CK (Δ217 vs. 103 U/L; p = 0.01) and troponin T (Δ1129 vs. 614.5 ng/L; p = 0.01). (Figure 1) No significant correlation was found between energy delivery and biomarker changes.
Conclusion
CB and BiB-PFA elicit distinct systemic responses. CB provoked stronger inflammatory activation, while BiB-PFA caused greater myocardial biomarker release, suggesting energy- and device-specific effects.
Figure 1. Comparison of delta values between the BiB-PFA group and the CB group:
CK = creatine kinase; CRP = C-reactive protein; eGFR = estimated glomerular filtration rate
