Background
Atrial remodeling in atrial fibrillation (AF) includes wall thinning and fibrosis, but non-invasive quantification has been limited by imaging resolution. Photon-counting computed tomography (PCCT) enables high-resolution systematic assessment of left atrial (LA) wall structure. We evaluated associations between PCCT-derived LA wall thickness, AF phenotype, low-voltage substrate, and ablation outcome.
Methods
198 patients (mean age 66 ± 10 years, 36% female) were prospectively included before first-time AF ablation and underwent PCCT imaging. 112 patients (57%) with paroxysmal AF and 86 (43%) with persistent AF. Semi-automated segmentation was used to quantify mean LA wall thickness (LAWT). Pulmonary vein isolation was performed in all patients using Radiofrequency energy. Associations between LAWT and clinical characteristics were analysed using multivariable linear regression. The relation between wall thickness and low-voltage areas (LVA, <0.5 mV) was examined by logistic regression. Ablation outcome (AF recurrence) was analyzed with Cox proportional hazards models.
Results:
The Median follow-up was 366.0 days (IQR 174-404). Paroxysmal AF patients exhibited significantly thicker LA walls than those with persistent AF (1.93 ± 0.27 mm vs. 1.79 ± 0.25 mm; p = 0.0015). In multivariable analysis, persistent AF remained independently associated with lower LAWT (β = −0.127; 95% CI −0.213 to −0.041; p = 0.004), as did higher body fat percentage (β = −0.007 per % body fat; p = 0.011) and older age (β = −0.004 per year; p = 0.047). BMI and visceral fat percentage showed no independent association.
Each 1 mm increase in wall thickness was associated with approximately 40% lower odds of LVA (odds ratio [OR] = 0.60; 95% confidence interval [CI] 0.38- 0.94; p = 0.027). (reciprocal OR = 1.67; 95% CI 1.06–2.62). Figure 1
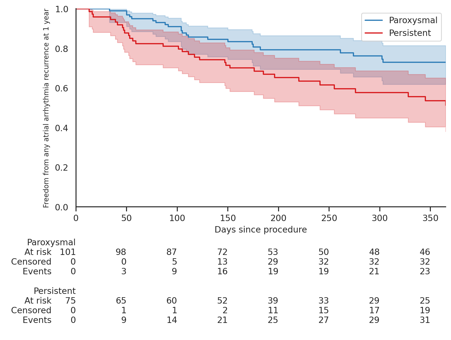
In Multivariant Cox analysis including LAWT, AF type, and structural/clinical covariates, thicker LA walls showed a protective trend toward lower recurrence (HR < 1), though not independently significant after full adjustment. Figure 2 and 3
Conclusion
Reduced wall thickness was independently associated with persistent AF, higher body fat, and low-voltage substrate, suggesting LA wall thickness as a marker of structural remodeling and potential predictor of ablation outcome.
* Funded by the German Heart Foundation - Deutsche Herzstiftung e.V.
Figure 1: Association of LA Wall Thickness With Low-Voltage Substrate

Figure 2: Kaplan-Meier curve 1-year ablation outcome

Figure 3: Forest Plot: Multivariate Cox regression Predictors of AF recurrence
