Early Ventricular Tachyarrhythmia after Myocardial Infarction in Patients Using a Wearable Cardioverter Defibrillator

Clin Res Cardiol (2026). DOI 10.1007/s00392-026-02870-1
J. Rips (Bonn)1, I. El-Battrawy (Bochum)2, M. Mousa Basha (Bonn)3, H. Lapp (Bonn)3, A. Zietzer (Bonn)3, V. Knappe (Bonn)3, M. Funken (Bonn)3, C. Gestrich (Bonn)3, T. Kratz (Bonn)4, L. Wloch (Bochum)5, K. Koepsel (Bochum)6, N. Klein (Leipzig)7, T. Kuntz (Leipzig)7, A. Mügge (Bochum)8, A. Aweimer (Bochum)9, C. Weth (Saarbrücken)10, F. Custodis (Saarbrücken)10, W. Schehab (Meppen)11, L. M. Hoffmann (Mannheim)12, M. Abumayyaleh (Mannheim)13, I. Akin (Mannheim)13, N. Hamdani (Bochum)14, G. Nickenig (Bonn)3, T. Beiert (Bonn)3
1Herzzentrum des Universitätsklinikums Bonn Medizinische Klinik und Poliklinik II Bonn, Deutschland; 2Klinikum der Ruhr-Universität Bochum Medizinische Klinik II, Kardiologie Bochum, Deutschland; 3Universitätsklinikum Bonn Medizinische Klinik und Poliklinik II Bonn, Deutschland; 4Bonn, Deutschland; 5Ruhr-Universität Bochum Bochum, Deutschland; 6Berufsgenossenschaftliches Universitätsklinikum Bergmannsheil Medizinische Klinik II, Kardiologie und Angiologie Bochum, Deutschland; 7Klinikum Sankt Georg Klinik für Kardiologie, Angiologie und intern. Intensivmedizin Leipzig, Deutschland; 8Institut für Physiologie, Institut für Forschung und Lehre (IFL), Ruhr-Universität Bochum Abteilung für Zelluläre und Translationale Physiologie, Molekulare und Experimentelle Kardiologie Bochum, Deutschland; 9Berufsgenossenschaftlliches Universitätsklinikum Bergmannsheil gGmbH Medizinische Klinik II, Kardiologie und Angiologie Bochum, Deutschland; 10Klinikum Saarbrücken gGmbH Medizinische Klinik II Saarbrücken, Deutschland; 11Krankenhaus Ludmillenstift Innere Medizin, Kardiologie, Pneumologie, Angiologie und internistische Intensivmedizin Meppen, Deutschland; 12Klinikum Mannheim GmbH,Universitätsklinikum, Medizinische Fakultät Mannheim der Universität Heidelberg Mannheim, Deutschland; 13Universitätsklinikum Mannheim GmbH I. Medizinische Klinik Mannheim, Deutschland; 14Kath. Klinikum Bochum Cellular Physiology Bochum, Deutschland


Background and Aims

The wearable cardioverter-defibrillator (WCD) was introduced to protect patients with a potentially reversible high risk for sudden cardiac death (SCD) in the early phase after myocardial infarction (MI). The aim of the present trial was to determine whether WCD therapies or ventricular tachyarrhythmia differ between patients with high risk for SCD following ST-elevation MI (STEMI) or non-ST-elevation MI (NSTEMI).

Methods and Results
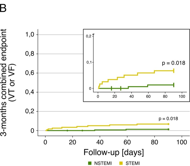
This multicentre trial included patients receiving a WCD for increased risk for SCD (left ventricular ejection fraction (LV-EF) ≤ 35% and/or non-sustained ventricular tachycardia (nsVT)) following an acute MI. A total of 272 patients (STEMI: 118; NSTEMI: 154) were included. Follow-up was performed three months after WCD-prescription. The average WCD wear time per day was 21.9 ± 3.5 hours, baseline LV-EF was 29.7 ± 9.4%. Both groups experienced a comparable increase in LV-EF from baseline to 3-month follow-up (STEMI: 8.5 ± 10.6% vs. NSTEMI: 7.8 ± 10.8%; p = 0.609), as seen in Figure 1A. In total, 17 VT/VF episodes were recorded during follow-up, with 15 events occurring in the STEMI group (9 sustained ventricular tachycardia (VT) and 6 ventricular fibrillation (VF) events) and only 2 events in the NSTEMI group (1 VT and 1 VF). Patients with STEMI experienced significantly more VT/VF events compared to NSTEMI patients (STEMI: 6.8% vs. NSTEMI: 1.3%; p = 0.023). Kaplan–Meier analysis, as shown in Figure 1B, demonstrated a statistically significant difference in time to first VT/VF event between STEMI and NSTEMI patients (log-rank test, p = 0.018). In a multivariate analysis of the complete cohort, both STEMI and chronic kidney disease were independent predictors for VT/VF events.

Conclusion
In high-risk patients after MI, STEMI was associated with a significantly higher incidence of ventricular tachyarrhythmia compared to NSTEMI during the first three months post-infarction period. Furthermore, chronic kidney disease and STEMI were identified as independent predictors of VT/VF events.