Clin Res Cardiol (2025). DOI 10.1007/s00392-025-02737-x
1Herzzentrum der Universität zu Köln Klinik III für Innere Medizin Köln, Deutschland; 2Universitätsklinikum Köln Klinik für Herzchirurgie, herzchirurgische Intensivmedizin und Thoraxchirurgie Köln, Deutschland
Background: Intravascular hemolysis is a known complication of surgical and transcatheter prosthetic heart valves and is often linked to high shear forces seen for example in paravalvular leakage (PVL). While previous studies indicate that hemolysis after transcatheter aortic valve replacement (TAVR) is often subclinical, its incidence and predictors remain insufficiently studied in high-volume, all-comer cohorts.
At our experienced TAVR center we have observed a consistent postprocedural decline in hemoglobin (Hb) across nearly all patients. While dilutional effects, bleeding, or vascular access–related factors may account for part of this, we hypothesize that mechanical intravascular hemolysis (MIH) may be a relevant contributor in a relevant number of cases.
Aim: To identify prosthesis-related predictors of postprocedural hemoglobin decline after TAVI in order to generate hypotheses for future prospective studies investigating mechanical intravascular hemolysis.
Methods: In a retrospective analysis, 2,315 consecutive patients undergoing TAVR at our center were analyzed regarding Hb decline between preprocedural measurement and before discharge. The delta (∆Hb) was compared between prosthesis types, sizes and generations including balloon-expandable (SAPIEN), self-expanding (Evolut, ACURATE) valves. Correlation and multivariable linear regression analyses were performed to identify independent predictors of Hb decline.
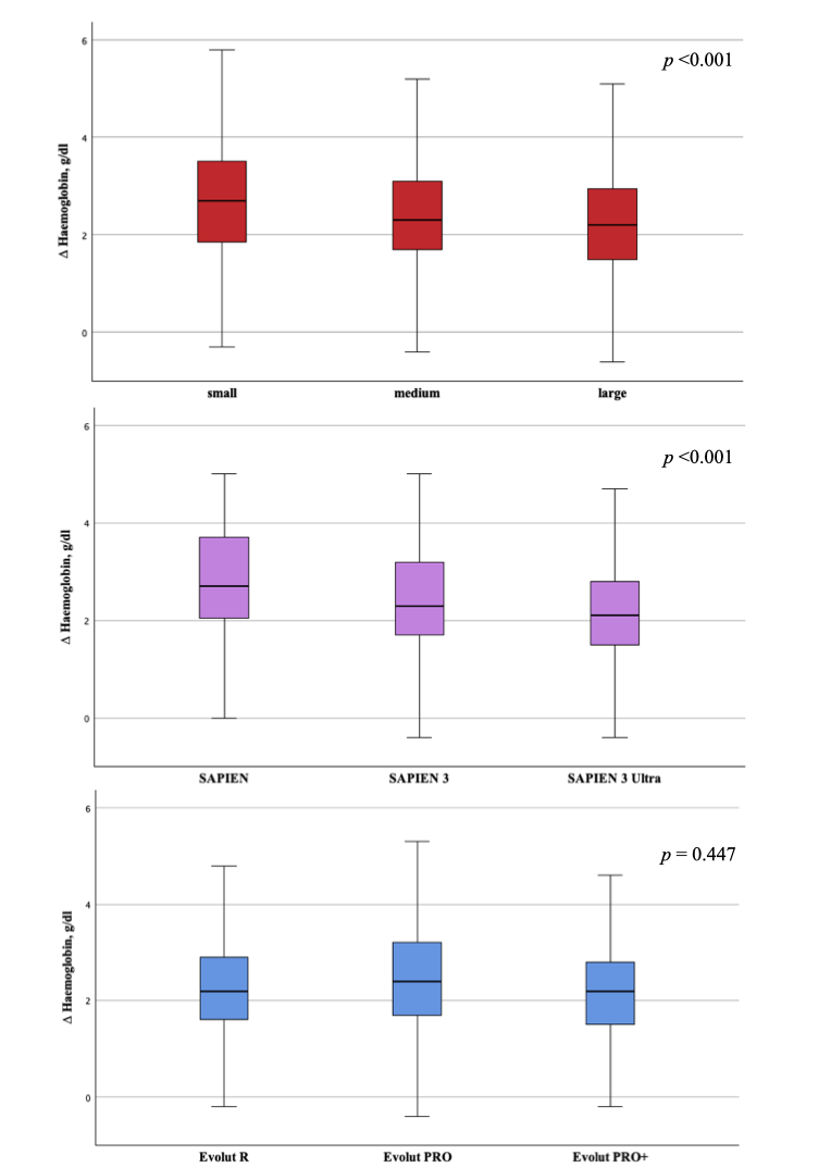
Results: A significant drop in hemoglobin was observed across all prosthesis types (median ∆Hb 2.2–2.4 g/dl; p < 0.001). Among SAPIEN valves, the latest-generation SAPIEN 3 Ultra was associated with the lowest ∆Hb (2.1 g/dl), compared to SAPIEN 3 (2.4 g/dl) and earlier-generation SAPIEN/XT (2.9 g/dl; p < 0.001). Evolut valves showed similar trends, with numerically lower ∆Hb values for the newest generation PRO+ than for Evolut R, though without statistical significance. Across all manufacturers, smaller prostheses were consistently associated with greater Hb loss (p < 0.05). No association was found between paravalvular leakage (PVL) severity and ∆Hb (p = 0.806). In multivariable regression, independent predictors of ∆Hb included preprocedural hemoglobin (β = 0.511, p < 0.001), bleeding (β = 0.212, p < 0.001), vascular complications (β = 0.139, p < 0.001), procedure duration, transfemoral access, and BSA (all p < 0.05).
Conclusion: A postprocedural hemoglobin decline was consistently observed in TAVR patients and varied significantly by prosthesis generation and size. While bleeding and procedural factors were the main independent predictors of ∆Hb, prosthesis-related characteristics - such as valve design or size - could also contribute to the observed decline, suggesting that valve-specific features might influence the extent of hemoglobin reduction beyond procedural factors alone. These hypothesis-generating findings warrant prospective studies using dedicated hemolysis markers to further explore this underrecognized phenomenon.
Figure 1: Postprocedural hemoglobin decline (∆Hb, in g/dl) stratified by prosthesis sizes (top), SAPIEN valve generations (middle) and Evolut valve generations (bottom). A significant greater ∆Hb was observed in smaller prostheses and earlier-generation SAPIEN valves (p <0.001 respectively). In Evolut valves the newest Evolut PRO+ showed a numerically lower ∆Hb than its predecessor Evolut PRO, though without statistical significance (p=0.447).
Figure 1: Postprocedural hemoglobin decline (∆Hb, in g/dl) stratified by prosthesis sizes (top), SAPIEN valve generations (middle) and Evolut valve generations (bottom). A significant greater ∆Hb was observed in smaller prostheses and earlier-generation SAPIEN valves (p <0.001 respectively). In Evolut valves the newest Evolut PRO+ showed a numerically lower ∆Hb than its predecessor Evolut PRO, though without statistical significance (p=0.447).