herz-blutgefaesse-shutterstock-1391792228-32zu9-1920x540

Versorgungslücken bei pAVK der oberen Extremitäten

Aktuell sind die Daten zur Prävalenz, Behandlung und Prognose von Patientinnen und Patienten mit pAVK der oberen Extremitäten (upper extremity artery disease; UEAD) nur sehr spärlich vorhanden. Vor allem im Gegensatz zur pAVK der unteren Extremitäten fehlen evidenzbasierte Leitlinien weitgehend und alle bisherigen Analysen beruhen auf kleinen Kohorten oder Single-Center-Auswertungen. Im Rahmen des vom Innovationsfonds geförderten Projektes GenderVasc wurden nun in Kooperation mit dem Wissenschaftlichen Institut der AOK deutschlandweit Versorgungsdaten zur UEAD analysiert.

 

Studienautorin Dr. Lena Makowski berichtet. Mit Kommentar von Prof. Christos Rammos, Rubrikleiter Angiologie.

Von:

Dr. Lena Makowski

Universitätsklinikum Münster

 

Kommentar  

Prof. Christos Rammos

Universitätsklinikum Essen

 

12.06.2025

Bildquelle (Bild oben): Sebastian Kaulitzki / Shutterstock.com

Deutschlandweite Analyse zeigt ein eher junges und heterogenes Patientenkollektiv

Eingeschlossen wurden alle AOK-Versicherten, die zwischen 2010 und 2017 mit der Hauptdiagnose UEAD (ICD-10: I70.26) stationär behandelt wurden. Insgesamt wurden knapp 2.500 stationär behandelte UEAD-Patienten und -Patientinnen analysiert.


Die Analysen zeigen, dass das Durchschnittsalter aller stationär behandelten UEAD-Betroffenen bei 67 Jahre lag und damit ist dieses Patientenkollektiv im Vergleich zu den Personen mit peripherer arterieller Verschlusskrankheit (pAVK) der unteren Extremität deutlich jünger. Im Gegensatz dazu, war die Rate an kardiovaskulären Risikofaktoren und Komorbiditäten jedoch deutlich höher, insbesondere bei Männern. Diese litten häufiger an Diabetes mellitus, pAVK der unteren Extremität, Vorhofflimmern, koronarer Herzkrankheit, Herz- und Niereninsuffizienz. 

 

Bei rund 80 % der UEAD-Patienten und -Patientinnen war diese atherosklerotisch bedingt (UEADa) und bei nur 20 % lag zusätzlich eine entzündliche oder bindegewebsassoziierte Erkrankung (UEADc/i) vor. Diese Ergebnisse zeigen die klinische Heterogenität und das hohe kardiovaskuläre Risiko in einem vergleichsweise jungen Patientenkollektiv.

Hohe Amputations- und Mortalitätsraten zeigen die äußerst schlechte Prognose

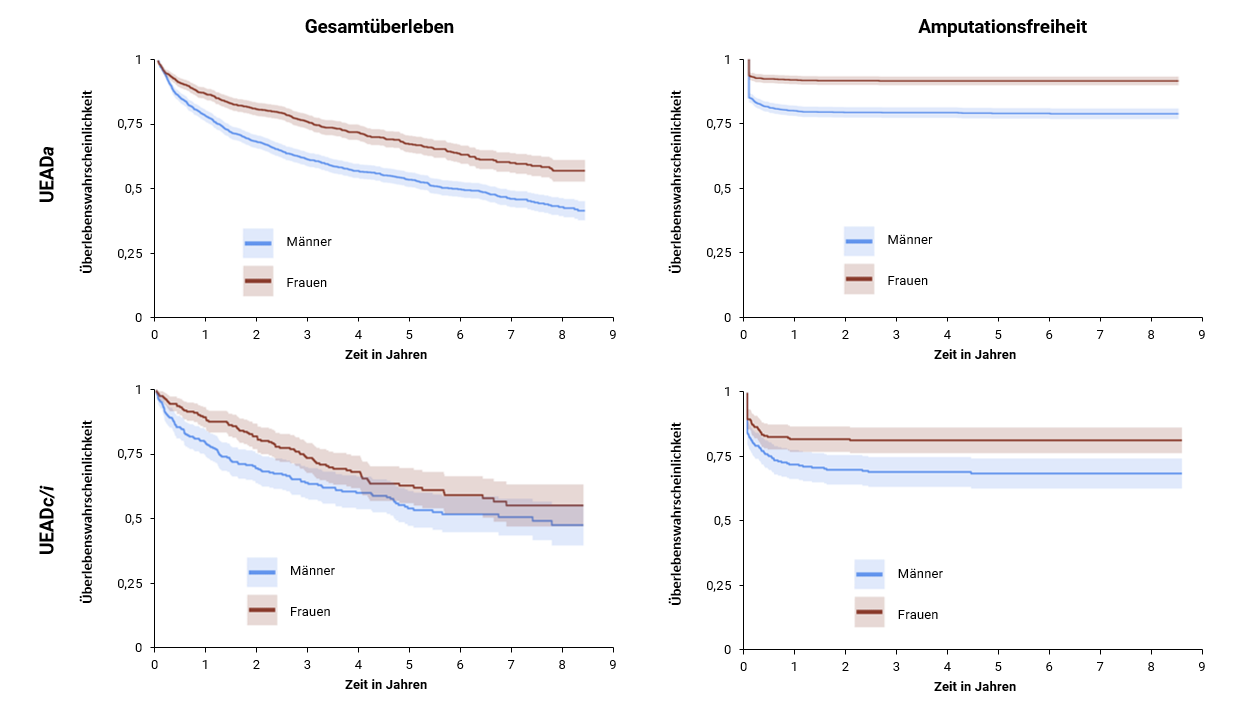
Die Amputationsrate der oberen Extremität lag innerhalb von 30 Tagen bei fast 15 %, nach 1 Jahr bei ca. 20 % und erreichte hier im weiteren Follow-up von 8 Jahren ein Plateau. Im Gegensatz dazu stieg die Mortalitätsrate kontinuierlich an und lag nach 5 Jahren bei 40%. Zu allen Zeitpunkten waren Männer bei beiden Endpunkten signifikant stärker betroffen als Frauen, wobei es keine statistisch signifikanten Unterschiede zwischen der UEADa und UEADc/i Kohorte gab (siehe Abbildung 1). 

gesamtueberleben-und-amputationsfreiheit-ueber-die-zeit
Abbildung 1: Gesamtüberleben und Amputationsfreiheit über die Zeit (in Jahren), aufgeteilt für weibliche (rot) und männliche (blau) Personen mit atherosklerotischer UEAD (UEADa) oder zusätzlicher entzündlicher oder bindegewebsassoziierter Erkrankung (UEADc/i).

Die hohen Amputationsraten im Index bzw. kurz danach und die stetig steigenden Mortalitätsraten zeigen die äußerst schlechte Prognose von UEAD-Betroffenen. Diese ist im Vergleich zu Personen mit pAVK der unteren Extremität im Stadium der kritischen Ischämie sogar schlechter, obwohl es für UEAD-Patienten und -Patientinnen keine Einteilung nach Schweregraden gibt.

Bei der Behandlung von UEAD gibt es kaum evidenzbasierte Empfehlungen

In den nationalen und internationalen Leitlinien gibt es kaum evidenzbasierte Empfehlungen bezüglich des Screenings, der Diagnosestellung und Behandlung von Personen mit UEAD. Die Gründe hierfür können vielfältig sein, jedoch zeigen unsere Analysen deutlich, dass UEAD-Patientinnen und -Patienten oft unzureichend behandelt werden.


Nur knapp die Hälfte der stationär behandelten UEAD-Betroffenen erhielt eine diagnostische Angiographie während des Index-Aufenthaltes und auch die Rate an Revaskularisierungen war mit einem Drittel deutlich zu niedrig (Abbildung 2). Frauen mit UEAD erhielten häufiger eine Revaskularisierung im Vergleich zu den Männern, was überraschend war, da bei der pAVK der unteren Extremität Frauen konstant schlechter versorgt werden als Männer.

Diagnostische Angiographie UEAD
Abbildung 2: Durchführungsrate an diagnostischer Angiographie (intraarterielle DSA / CT- / MRT-Angiographie; angio) und Revaskularisierung (endovaskulär oder gefäßchirurgisch; revasc) aufgeteilt nach Frauen (rot) und Männern (blau) bei Personen mit UEADa und UEADc/i.

Als weiteren wichtigen Punkt in der Behandlung von Patientinnen und Patienten mit atherosklerotischen Grunderkrankungen wurde die Sekundärprophylaxe analysiert. Nur etwa knapp die Hälfte der UEAD-Patientinnen und -Patienten erhielten vor dem Krankenhausaufenthalt Statine oder Antithrombotika und die Einnahme dieser evidenzbasierten Medikamente war höher bei Männern im Vergleich zu Frauen mit UEAD. Diese Ergebnisse verdeutlichen noch einmal, dass dringender Handlungsbedarf bei der Versorgung von UEAD-Betroffenen besteht.

Versorgung verbessern – es ist noch viel zu tun

Zusammenfassend lässt sich sagen, dass die hier vorliegende Analyse einer relativ großen Patientenkohorte zeigt, dass diese Erkrankung gar nicht so selten ist, wie häufig angenommen wird. Betroffene sind meist junge, kardiovaskulär vorbelastete Patientinnen und Patienten mit vielen Begleiterkrankungen. Die Prognose ist sehr schlecht und gekennzeichnet durch hohe Amputations- und Sterberaten. Aktuell fehlen evidenzbasierte Leitlinien und einheitliche Therapiestandards, was zu einer unzureichenden Versorgung beiträgt. Aufgrund der schlechten Prognose wäre ein einfaches Screeningtool hilfreich (z. B. Pulstasten oder Blutdruckmessung an beiden Armen), um frühzeitig die Diagnose stellen zu können. Weitere prospektive Studien sind dringend notwendig, um eine Evidenz-basierte und Leitlinien-gerechte Versorgung von Betroffenen einleiten zu können, um so die Versorgung und die Prognose von UEAD-Patienten und -Patientinnen zu verbessern.

Kommentar

Während die periphere arterielle Verschlusskrankheit (pAVK) bislang ganz klar der unteren Extremität zugeordnet wurde, zeigen die Daten der aktuellen Studie, dass eine primäre atherosklerotische Manifestation in 80 % der Fälle auch für eine Verschlusskrankheit der oberen Extremität verantwortlich ist. Alarmierend ist, dass lediglich 64 % der Patientinnen und Patienten Statine erhalten und 83 % antithrombotische Therapien. Zusätzlich zeigen die aktuellen Daten, dass eine Amputation sogar in bis zu 15 % der Fälle notwendig ist und zudem eine Mortalität von bis zu 50 % evident ist. Eine verspätete Diagnose und eine mangelhafte Verschreibung leitliniengerechter Therapien müssen hierfür verantwortlich gemacht werden. Kardiovaskuläre Expertinnen und Experten sollten somit ihren Blick nicht nur auf Herz, Hals und Beingefäße richten, sondern auch die Gefäße der oberen Extremitäten im Screening inkludieren. 

Zur Autorin

Dr. Lena Makowski

Dr. Lena Makowski ist seit 2017 wissenschaftliche Mitarbeiterin an der Klinik für Kardiologie I des Universitätsklinikums Münster. Sie forscht insbesondere zur kardiologischen Versorgung mit Fokus auf geschlechtersensible Medizin. Für ihre Forschungsleistungen erhielt sie u. a. den Wissenschaftspreis der Josef-Freitag-Stiftung (2022) und den Förderpreis der Hans-und-Gertie-Fischer-Stiftung (2023).

makowski-lena-2025-1zu1-375x375 makowski-lena-2025-1zu1-375x375

Zur Person

Prof. Christos Rammos

Prof. Christos Rammos ist als Geschäftsführender Oberarzt und Leiter der diagnostischen und interventionellen Angiologie am Universitätsklinikum Essen tätig. Seine Forschungsschwerpunkte liegen auf der kardiovaskulären Funktionsstörung mit besonderem Fokus auf Endothelfunktion, mikrobiomvermittelte Effekte und diätetische Interventionen sowie ferner Interventionen bei peripherer Verschlusskrankheit.

rammos-christos-375x375px rammos-christos-375x375px

Referenzen

Zur Übersicht Angiologie

Das könnte Sie auch interessieren

DGK-Jahrestagung 2026 | HERA-FIB-Register: Überraschend hohe Typ-1-Infarkt-Rate bei NSTEMI. Von Dr. M. Yildirim, Kommentar von Prof. D. Dürschmied.

DGK-Jahrestagung 2026 | Postervortrag: Real-World-Analyse zu Sicherheit und klinisch-funktionellen 12-Monats-Ergebnissen. Von Dr. D. Pinsdorf.

Aktuelle Guideline schärft den Blick für Risikostratifikation, Akuttherapie und Nachsorge. Von Dr. D. Messiha und Prof. C. Rammos.